1. No results to show.
  1. No results to show.

Ralph's Math and Statistics Tutoring

Contact for price

Math type
Sorry this pro can’t do your job, but we know other pros who can. Check them out
About
I have a superior understanding of the subjects I tutor, a keen awareness of why students struggle with the material, and knowledge of techniques for student improvement. Thumbtack has awarded me with their Best of 2016 and Best of 2015 awards. I make a difference in students' lives, helping them improve their skills to attain better test or course results. The part of my job that I like most is observing my students become more successful and achieving their desired performance.
Overview

Hired 14 times

Background checked

1 employee

22 years in business

Business hours

This pro hasn't listed their business hours.

Payment methods

This pro accepts payments via Cash.

Social media

Facebook

Services offered
Student grade level

Pre-kindergarten

Elementary school

Middle school

High school

Math type

Arithmetic / general

Pre-algebra

Algebra

Geometry

Work location

I work remotely (phone or internet)

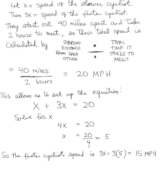
Projects and media
Projects and media
Reviews

Customers rated this pro highly for responsiveness, work quality, and professionalism.

Exceptional 5.0

8 reviews

5

100%

4

0%

3

0%

2

0%

1

0%

Read reviews that mention:


pro avatar
Ian M.

Feb 25, 2016

Hired on Thumbtack

Ralph and I started sessions a few weeks ago and I couldn't be happier with him. I have really noticed a confidence boost in my math skills and I understand the materiel. I told Ralph at first that my predicament involved not being able to grasp and fully understand the concepts I was being assigned. Ralph gave me the tools to understand these concepts and helped me break down problems. Ralph really helps me understand Math at its core and actually teaches me the basics in understanding the most complicated of problems. Ralph also responded to all of my messages very quickly and has been easy to communicate with. Id recommend Ralph to anybody looking for a tutor who adapts to your skill level and needs.
Math Tutoring
pro avatar
Mcguffey S.

Sep 20, 2015

Hired on Thumbtack

Ralph has been incredibly patient with me. He has helped me not only reach my goals in my class, but he has also helped me feel more comfortable with math in general. Ralph is a wonderful tutor!
Math Tutoring
pro avatar
Chris B.

Apr 16, 2017

Hired on Thumbtack

Ralph knows the fundamentals of Calculus, which were very valuable to me, having not taken Trigonometry or Pre-calculus prior to Calculus. He found himself walking me through some of the fundamental concepts along with what help I needed for the actual course, clarifying things along with suggesting how to approach/think about some problems, which was more than helpful. He is meticulous about math, and learning how he solves problems has helped my several-fold in my own studies. I still am being tutored by Ralph, but I would definitely recommend him to anyone looking to better themselves in the field of Mathematics.
Calculus Tutoring
pro avatar
Laura C.

Apr 8, 2016

Hired on Thumbtack

Very knowledgeable, flexible and prepared. He makes sure he has previewed everything I need before the scheduled lessons. He asked for a textbook copy which made me feel he is really vested in individualizing lessons for me.
Calculus Tutoring
pro avatar
Mark S.

Nov 6, 2018

Hired on Thumbtack

Ralph was very good at teaching me through my style of learning. He knows his stuff and worked with me at my pace to teach me new concepts. I learned a lot from him and would recommend him to others !!!

Details: Undergraduate school • Statistics • 26 - 44 years old • Improve grades at school • Once a week • The math tutor travels to me • I travel to the math tutor

Math Tutoring
Credentials
Background Check

Ralph Stikeleather

  • Loading